NCERT Solutions Class 11 Maths Chapter 16
NCERT Solutions for Class 11 Maths Chapter 16 Probability - PDF Download
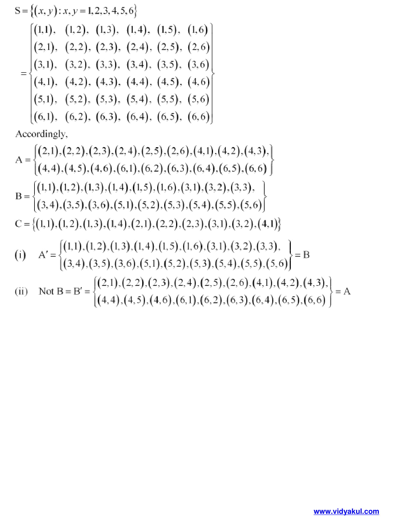
Cover the NCERT syllabus systematically with Class 11 NCERT Solutions Mathematics Chapter 16 Probability PDFs Download
Each and every exercise question is dealt with according to the CBSE guidelines to help students score well.
The main topics covered in Chapter 16 Probability are as follows:
- Introduction
- Random Experiments
- Outcomes and sample space
- Event
- Occurrence of an event
- Types of events
- Algebra of events
- Mutually exclusive events
- Exhaustive events
- Axiomatic Approach to Probability
- Probability of an event
- Probabilities of equally likely outcomes
- Probability of the event ‘A or B’
- Probability of event ‘not A’
Follow the link given below to download the PDF free of cost.
Download this solution for FREE Download this PDF




































