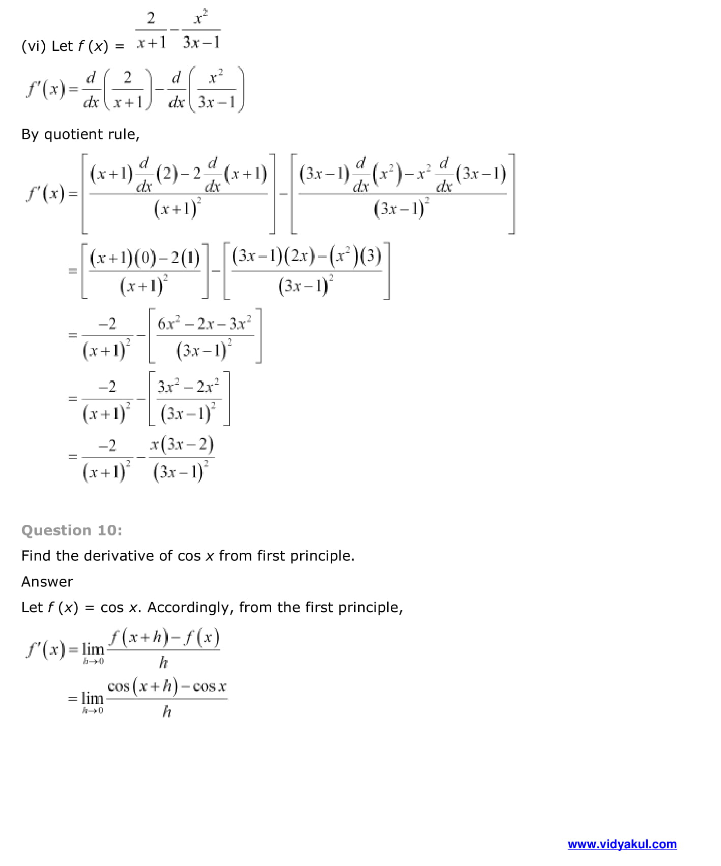
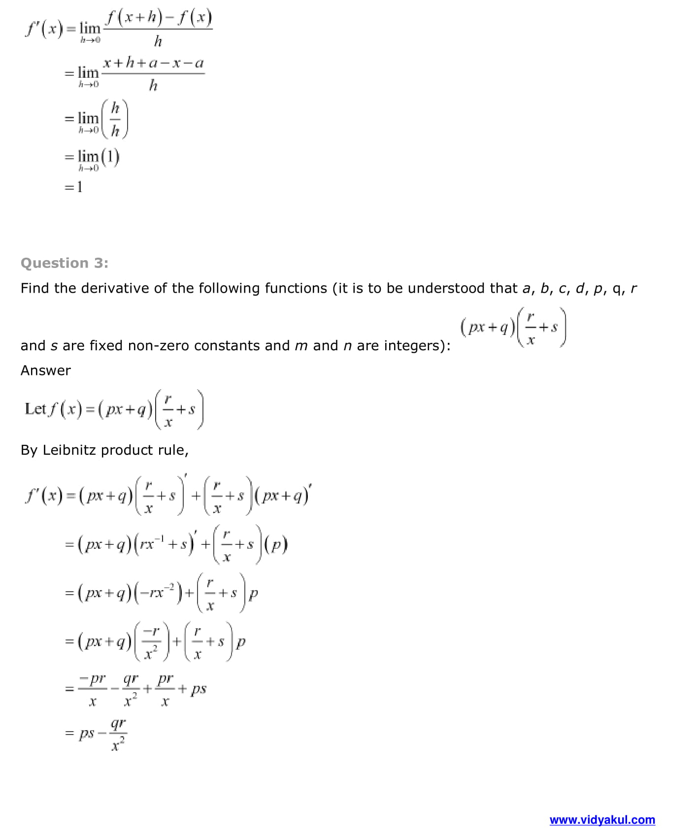
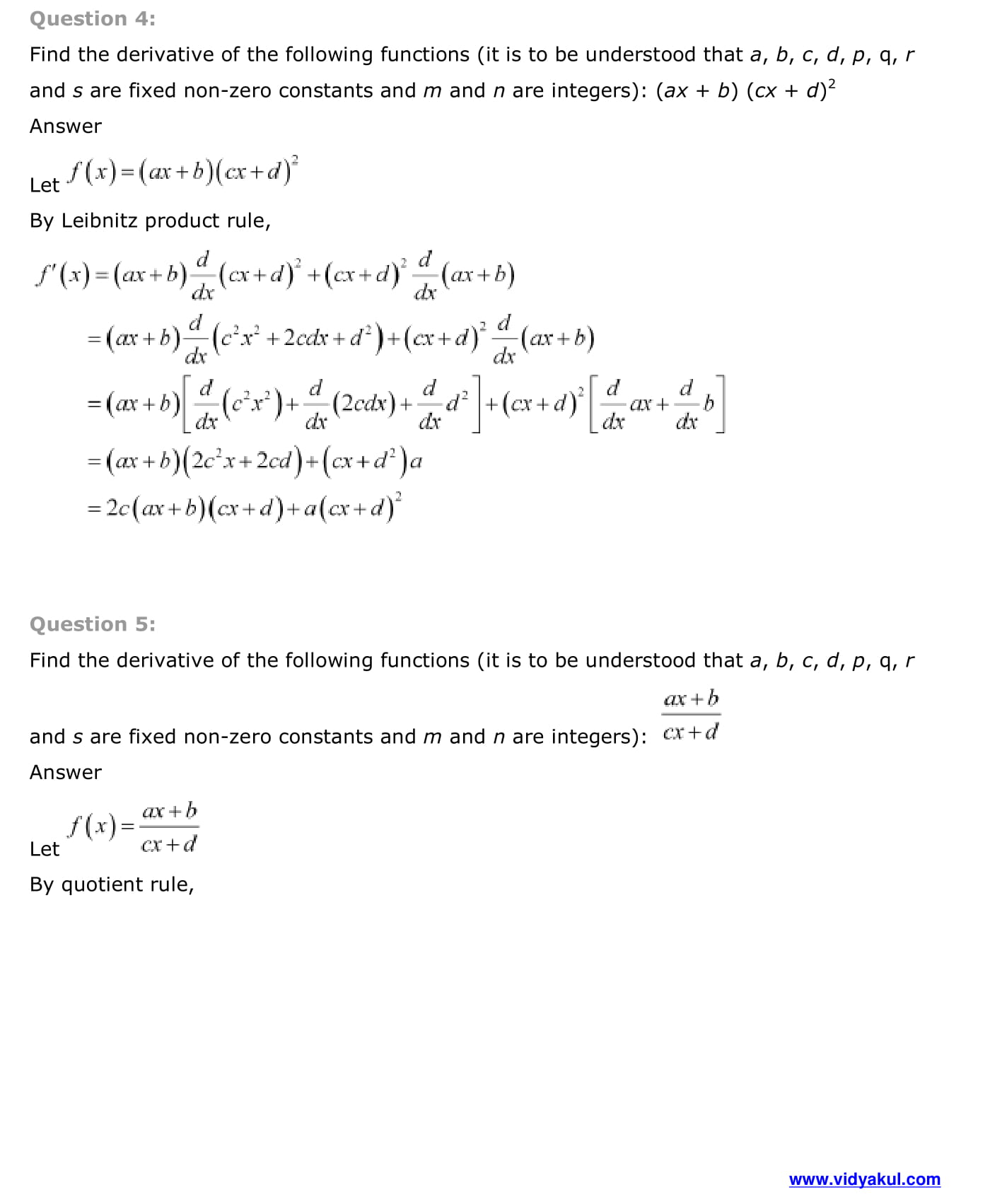
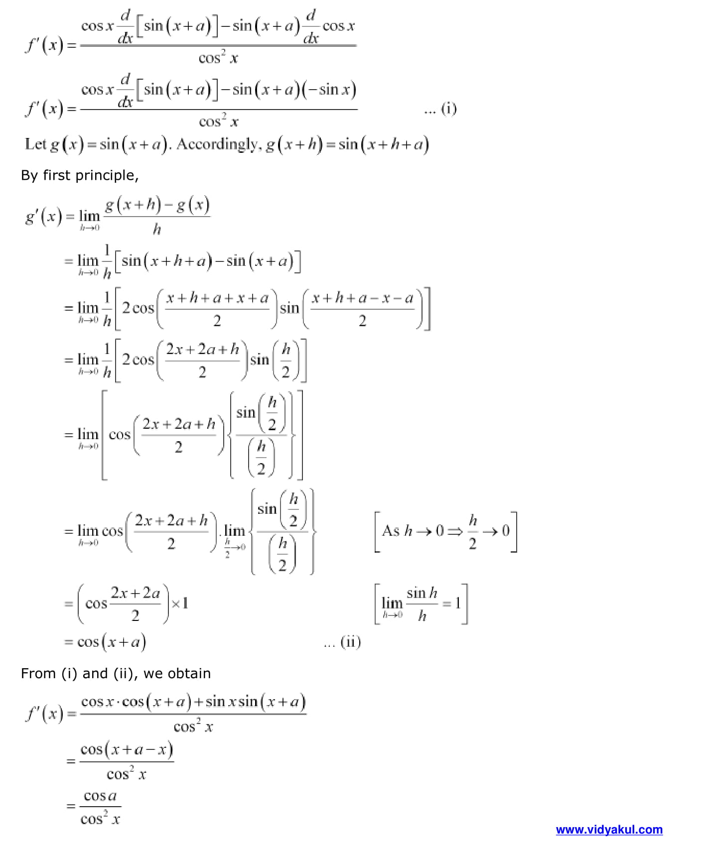
NCERT Solutions Class 11 Maths Chapter 13
NCERT Solutions for Class 11 Maths Chapter 13 Limits and Derivatives - PDF Download
Be the highest scorer in Mathematics with NCERT Solutions Class 11 Maths Chapter 13limits and derivatives free PDF download.
The solutions to all the exercise problems stated in the Class 11 NCERT are provided with an explanation in systematic manner.
The topics to be focussed in Chapter 13 Limits and Derivatives are given below:
- Intuitive Idea of Derivatives
- Limits
- Algebra of limits
- Limits of polynomials and rational functions
- Limits of Trigonometric Functions
- Derivatives
- Algebra of derivative of functions
- Derivative of polynomials and trigonometric functions
Follow the link given below to download the free PDF solutions for chapter 13 Limits & Derivatives.
Download this solution for FREE Download this PDF



































































