NCERT Solutions Class 11 Chemistry Chapter 13
NCERT Solutions for Class 11 Chemistry Chapter 13 Hydrocarbons - PDF Download
Make self-study easier with NCERT Solutions for Class 11 Chemistry Chapter 13 Hydrocarbon Vidyakul. Find all the exercise and solutions in one PDF which is downloadable and free of cost.
The major topics covered in Chapter 13 Hydrocarbons are given below:
- CLASSIFICATION
- ALKANES
- Nomenclature and Isomerism
- Preparation
- Properties
- Conformations
- ALKENES
- Structure of Double Bond
- Nomenclature
- Isomerism
- Preparation
- Properties
- ALKYNES
- Nomenclature and Isomerism
- Structure of Triple Bond
- Preparation
- Properties
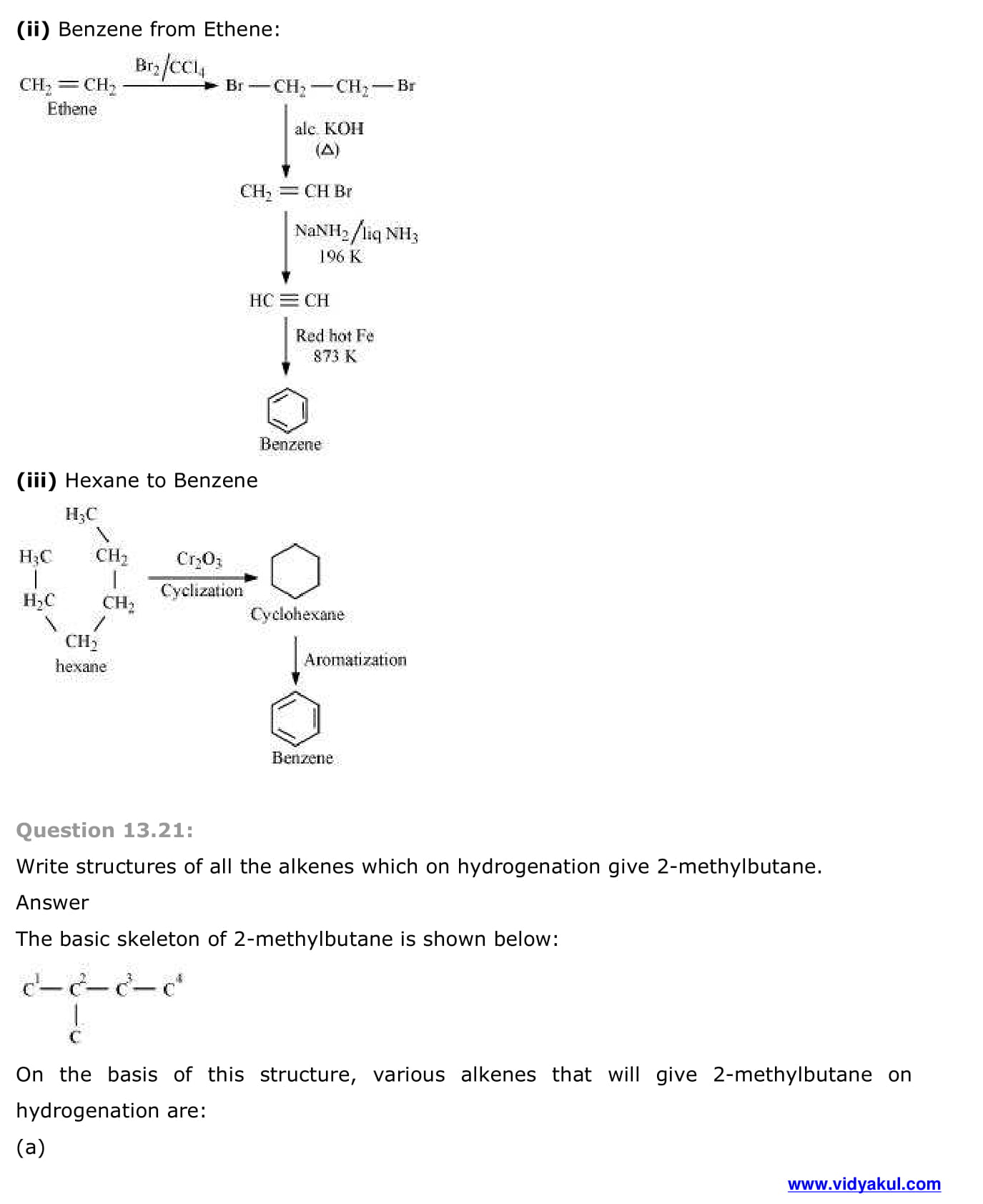
- AROMATIC HYDROCARBON
- Nomenclature and Isomerism
- Structure of Benzene
- Aromaticity
- Preparation of Benzene
- Properties Directive influence of a functional group in monosubstituted benzene
- CARCINOGENICITY AND TOXICITY
To download the free PDFs Solution for class 11 Chemistry click the link given below.
Download this solution for FREE Download this PDF






















