NCERT Solutions Class 11 Chemistry Chapter 7
NCERT Solutions for Class 11 Chemistry Chapter 7 Equilibrium - PDF Download
Self –study made easy with Vidyakul’s NCERT Solutions for Class 11 Chemistry Chapter 7 EQUILIBRIUM Free PDF Downloads designed by our experts in Chemistry.
The various topics covered by the Chapter 7 Equilibrium Class 11 NCERT are as follows:
Equilibrium in Physical Processes
- Solid-Liquid Equilibrium
- Liquid-Vapour Equilibrium
- Solid – Vapour Equilibrium
- Equilibrium Involving Dissolution of Solid or Gases in Liquids
- General Characteristics of Equilibria Involving Physical Processes
- EQUILIBRIUM IN CHEMICAL PROCESSES – DYNAMIC EQUILIBRIUM
- LAW OF CHEMICAL EQUILIBRIUM AND EQUILIBRIUM CONSTANT
- HOMOGENEOUS EQUILIBRIA
- Equilibrium Constant in Gaseous Systems
- HETEROGENEOUS EQUILIBRIA
- APPLICATIONS OF EQUILIBRIUM CONSTANTS
- Predicting the Extent of a Reaction
- Predicting the Direction of the Reaction
- Calculating Equilibrium Concentrations
- RELATIONSHIP BETWEEN EQUILIBRIUM CONSTANT K, REACTION QUOTIENT Q AND GIBBS ENERGY G
- FACTORS AFFECTING EQUILIBRIA
- Effect of Concentration Change
- Effect of Pressure Change
- Effect of Inert Gas Addition
- Effect of Temperature Change
- Effect of a Catalyst
- IONIC EQUILIBRIUM IN SOLUTION
- ACIDS, BASES AND SALTS
- Arrhenius Concept of Acids and Bases
- The Brönsted-Lowry Acids and Bases
- Lewis Acids and Bases
- IONIZATION OF ACIDS AND BASES
- The Ionization Constant of Water and its Ionic Product
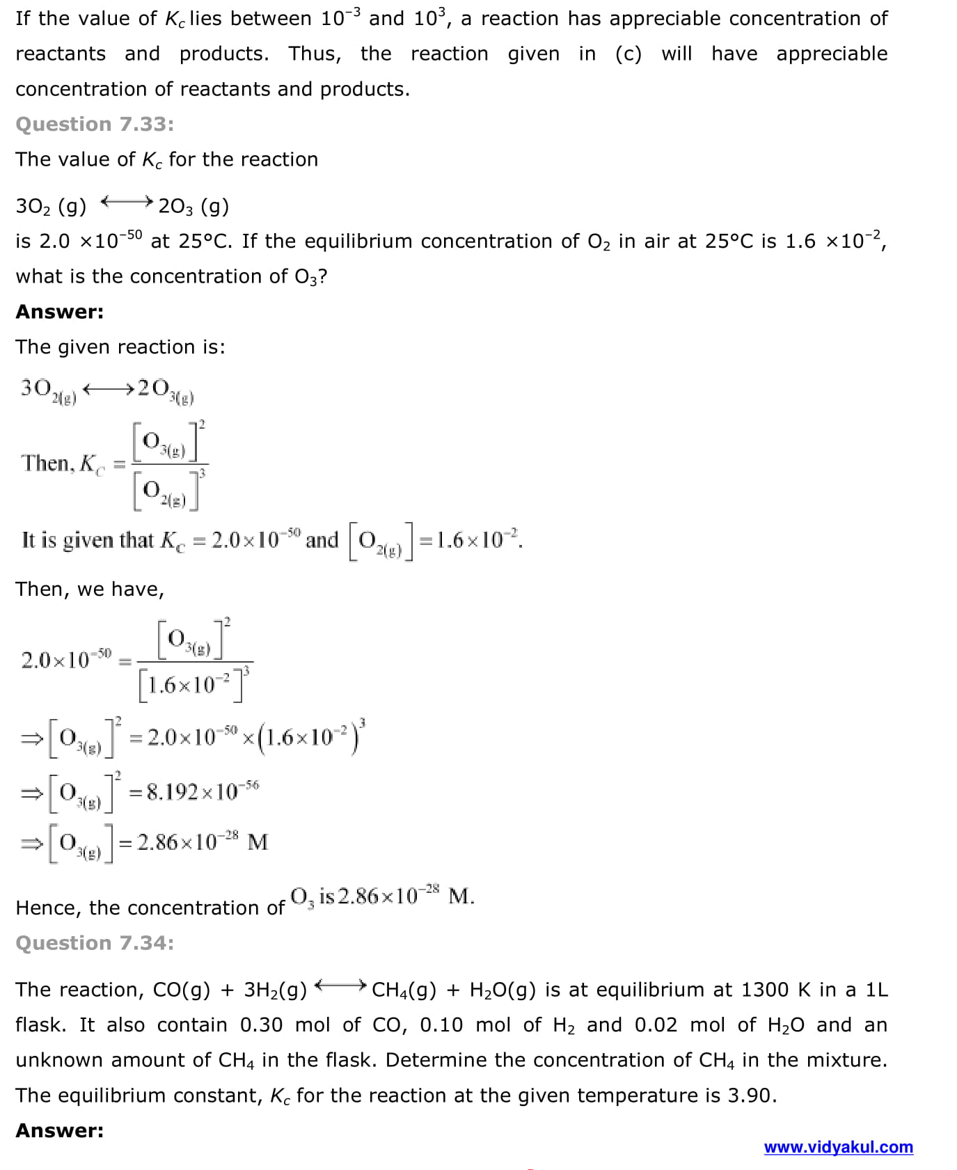
- The pH Scale
- Ionization Constants of Weak Acids
- Ionization of Weak Bases
- Relation between Ka and Kb
- Di- and Polybasic Acids and Di- and Polyacidic Bases
- Factors Affecting Acid Strength
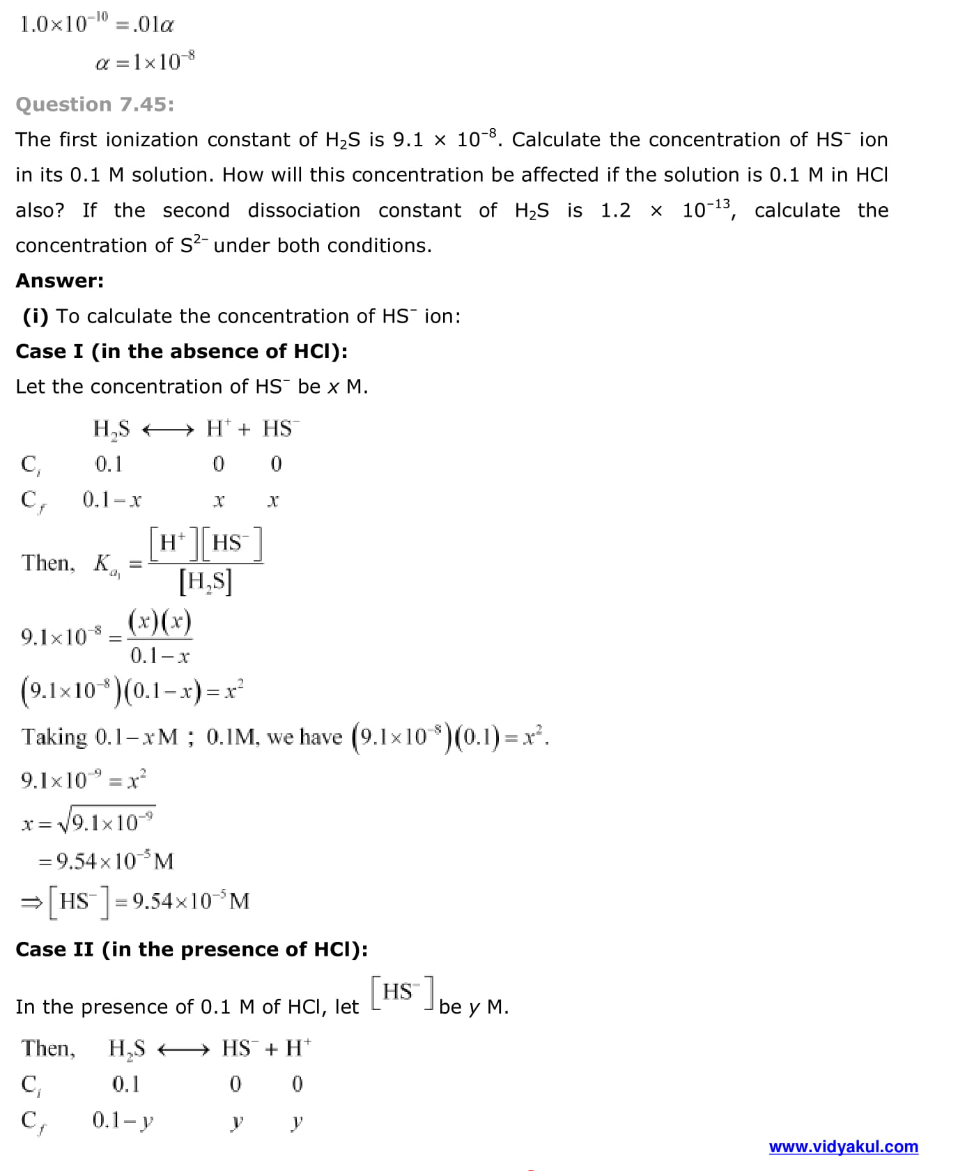
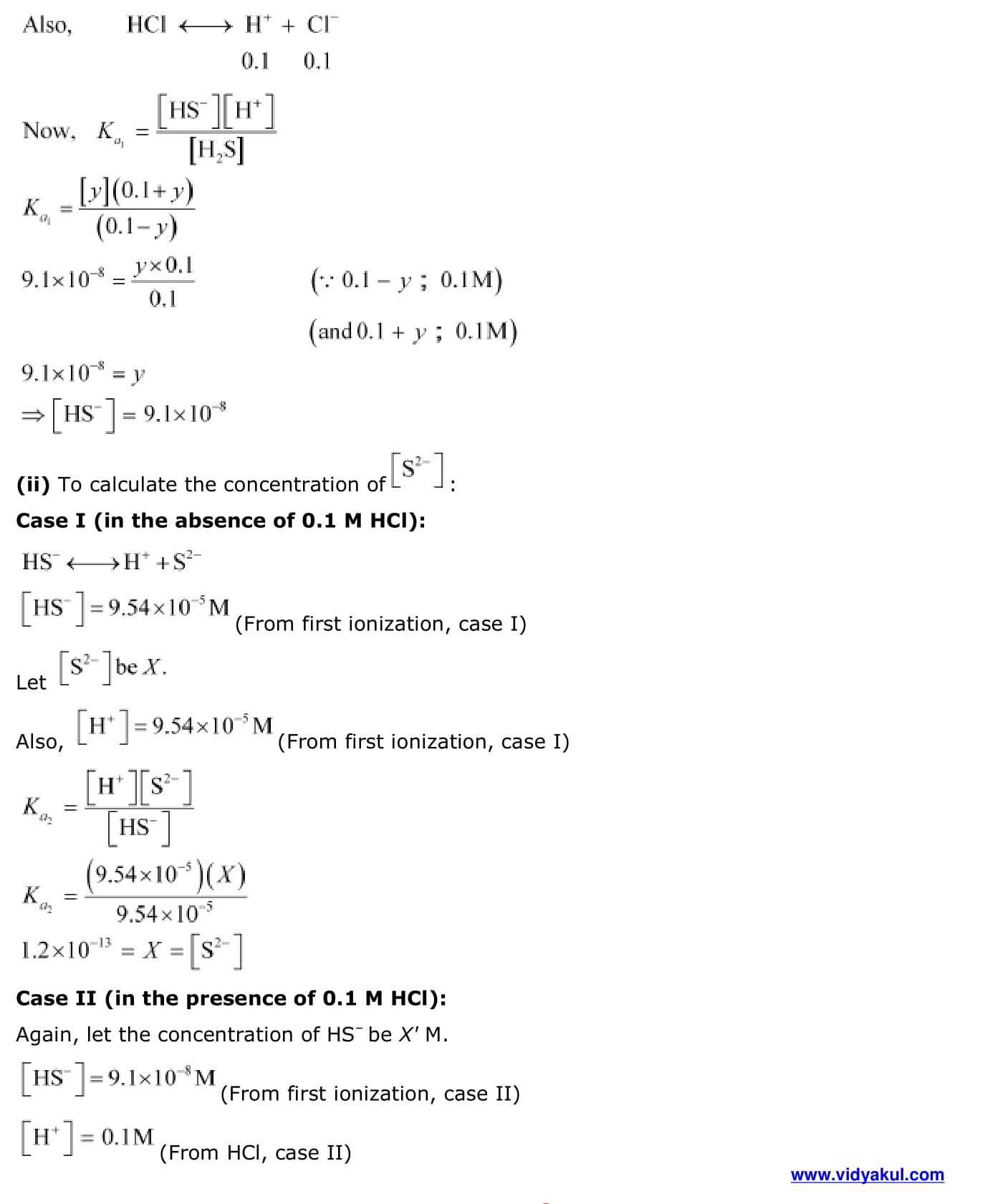
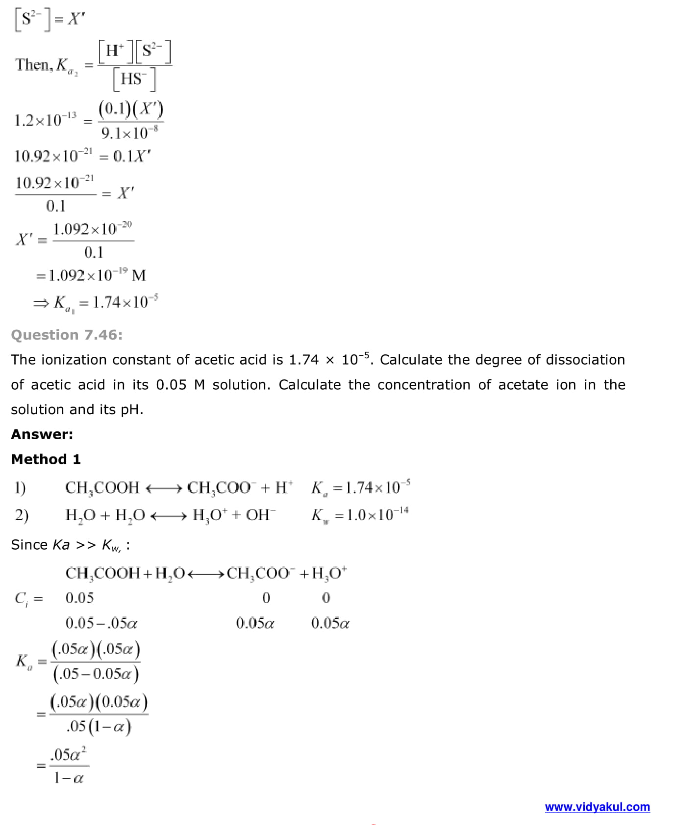
- Common Ion Effect in the Ionization of Acids and Bases
Follow the link given below to download the PDF free of cost.
Download this solution for FREE Download this PDF
































































